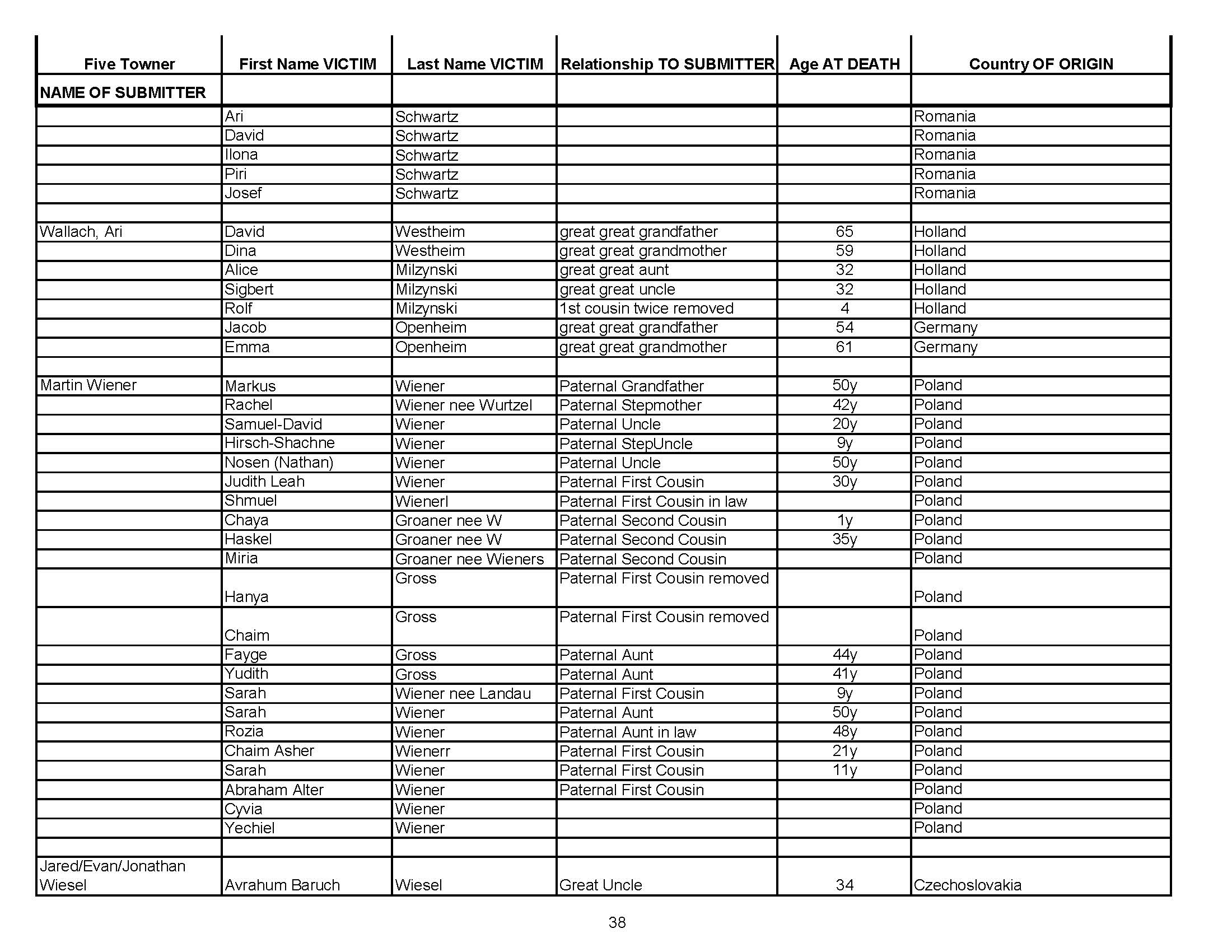
Cyvia Wiener

Print Candle Label
Ermordet
Cyvia Wiener. Vor dem Zweiten Weltkrieg lebte sie in Polen.
Cyvia wurde in der Schoah ermordet.


Diese Information basiert auf den unten angeführten Datensätze/Dokumenten:
Nachname Vorname Geburtsjahr Wohnort Quelle
Wiener Cyvia Polen Verfolgtenliste
Record Details     Korrekturen/Ergänzungen übermitteln
Familienname
Wiener
Vorname
Cyvia
Geschlecht
weiblich
Ständiger Wohnsitz
<>,<>,<>,Polen
Status nach Angaben der Quelle
ermordet
Einreichenden
Martin Wiener
Art des Materials
Verfolgtenliste
Datensatznummer
8835935
* automatische Übersetzung aus dem Hebräischen
Poland
51.919;19.145
Offizielle Namen von Orten und Kreisen spiegeln die Verwaltungsorganisation und Staatsgrenzen der verschiedenen Länder vor dem 1.01.1938 wider.