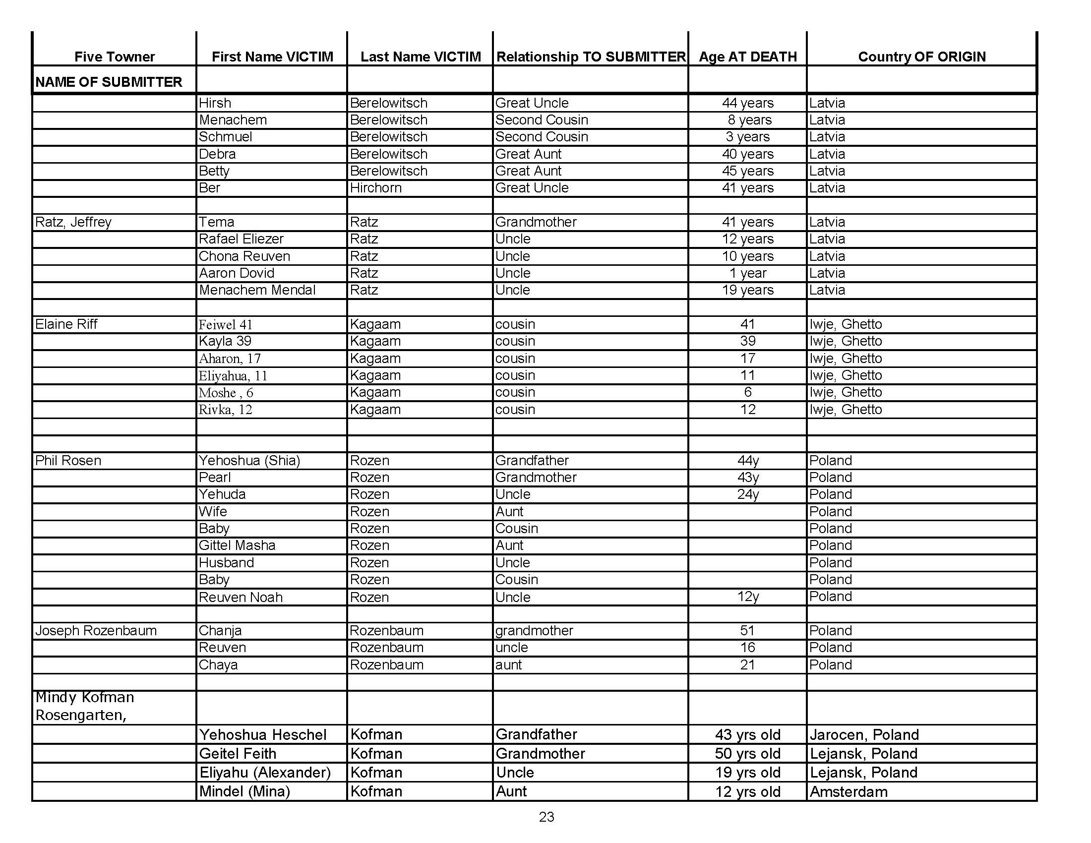
Chaya Rozenbaum

Print Candle Label
Ermordet
Chaya Rozenbaum wurde Sie war die Tochter von Chanja. Sie war Kind. Vor dem Zweiten Weltkrieg lebte sie in Polen.
Chaya wurde in der Schoah ermordet.


Diese Information basiert auf den unten angeführten Datensätze/Dokumenten:
Nachname Vorname Geburtsjahr Wohnort Quelle
Rozenbaum Chaya Polen Verfolgtenliste
Record Details     Korrekturen/Ergänzungen übermitteln
Familienname
Rozenbaum
Vorname
Chaya
Geschlecht
weiblich
Alter
21
Vorname der Mutter
Chanja
Familienstand
Kind
Ständiger Wohnsitz
<>,<>,<>,Polen
Status nach Angaben der Quelle
ermordet
Einreichenden
Joseph Rozenbaum
Beziehung zum Opfer
Neffe
Art des Materials
Verfolgtenliste
Datensatznummer
8829090
* automatische Übersetzung aus dem Hebräischen
Poland
51.919;19.145
Offizielle Namen von Orten und Kreisen spiegeln die Verwaltungsorganisation und Staatsgrenzen der verschiedenen Länder vor dem 1.01.1938 wider.