Sara Adler

Print Candle Label
Ermordet
Sara Adler wurde Sie war die Tochter von Chaim David und Preeva. Vor dem Zweiten Weltkrieg lebte sie in Ungarn.
Sara wurde in der Schoah ermordet.


Diese Information basiert auf den unten angeführten Datensätze/Dokumenten:
Nachname Vorname Geburtsjahr Wohnort Quelle
Adler Sara Ungarn Verfolgtenliste
Record Details     Korrekturen/Ergänzungen übermitteln
Familienname
Adler
Vorname
Sara
Geschlecht
weiblich
Vorname des Vaters
Chaim
Vorname des Vaters
David
Vorname der Mutter
Preeva
Ständiger Wohnsitz
<>,<>,<>,Ungarn
Status nach Angaben der Quelle
ermordet
Einreichenden
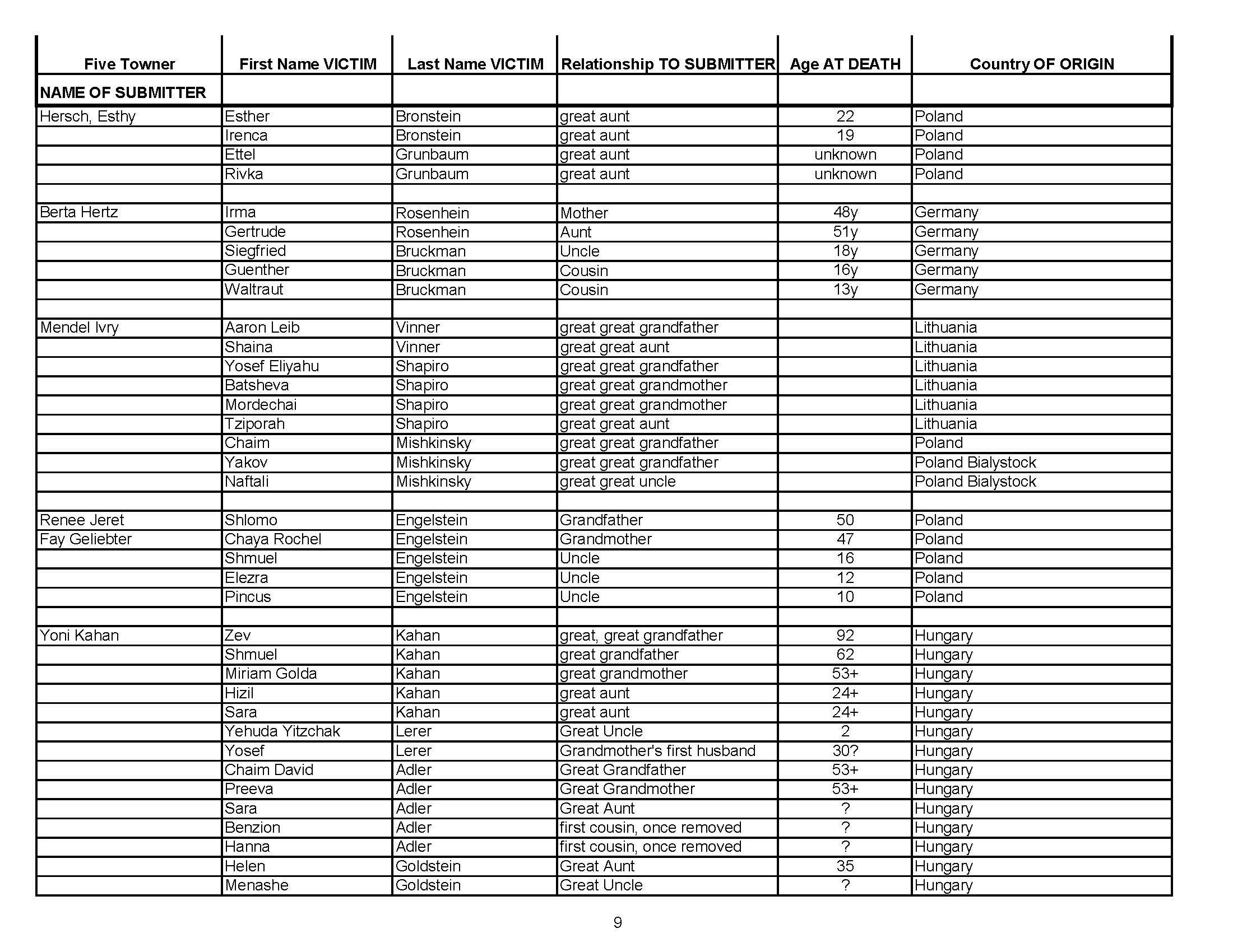
Yoni Kahan
Beziehung zum Opfer
Großneffe
Art des Materials
Verfolgtenliste
Datensatznummer
8788266
* automatische Übersetzung aus dem Hebräischen
Hungary
47.162;19.503
Offizielle Namen von Orten und Kreisen spiegeln die Verwaltungsorganisation und Staatsgrenzen der verschiedenen Länder vor dem 1.01.1938 wider.