Yad Vashem logo

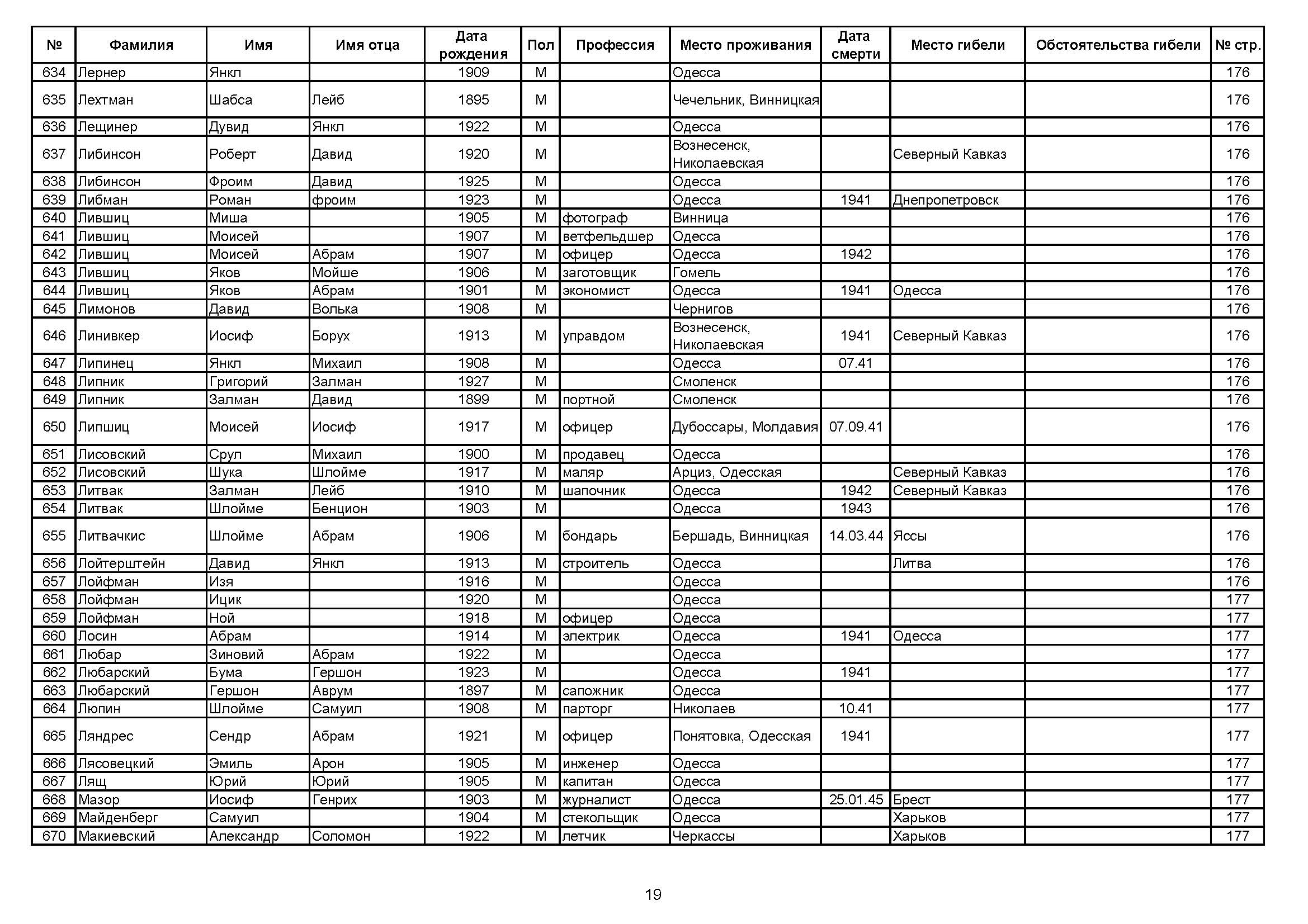
Моисей Липшиц

globalSearch.tabs.PrintCandleLabel
Уничтожен/a
Моисей Липшиц. Отец: Иосиф. Офицер. Место жительства до войны: Дубоссары, Украина (СССР).
Моисей уничтожен в период Шоа. место смерти: неизвестно в 07/09/1941.


Липшиц Моисей 1917 Дубоссары, Украина (СССР) Список преследуемых / пострадавших лиц
names.clusters.recordDetails     names.clusters.edit
details.fullDetails.YSLN
Липшиц
details.fullDetails.YSFN
Моисей
details.fullDetails.GENDER
Мужской
details.fullDetails.YSODB
1917
details.fullDetails.YSFTHN
Иосиф
details.fullDetails.PROF
Офицер
details.fullDetails.YSDD
07/09/1941
details.fullDetails.LIF_676
уничтожен/a
details.fullDetails.ID
9523156
Dubossary
Dubossary
Moldaviya ASSR
Ukraine (USSR)
47.270;29.155