Yad Vashem logo

Голда Грановская

Print Candle Label
Уничтожен/a
Голда Грановская. Место жительства до войны: Одесса, Украина (СССР). Место во время войны: Одесса, Украина (СССР).
Голда уничтоженa в период Шоа. место смерти: Одесса, Украина (СССР) в 14/01/1942.


Эта информация основана на записях/документах, приведенных ниже:
Фамилия Имя Год рождения Место жительства Источник информации
Грановская Голда 1892 Одесса, Украина (СССР) Список преследуемых / пострадавших лиц
Record Details     исправления/дополнения
Фамилия
Грановская
Имя
Голда
Пол
Женский
Дата рождения
1892
Место пребывания во время войны/Шоа
Одесса,Одесский Р-н,Одесская Обл.,Украина (СССР)
Дата смерти
14/01/1942
Причина смерти
Расстрел
Судьба на основании данного источника
уничтожен/a
Идентификационный номер
9240744
* Указывает на автоматический перевод с иврита
Синонимы и соотносящиеся имена © С 2004. Яд Вашем. Все права защищены.
Odessa
Odessa City
Odessa
Ukraine (USSR)
46.460;30.750
Odessa
Odessa City
Odessa
Ukraine (USSR)
46.460;30.750
Odessa
Odessa City
Odessa
Ukraine (USSR)
46.460;30.750
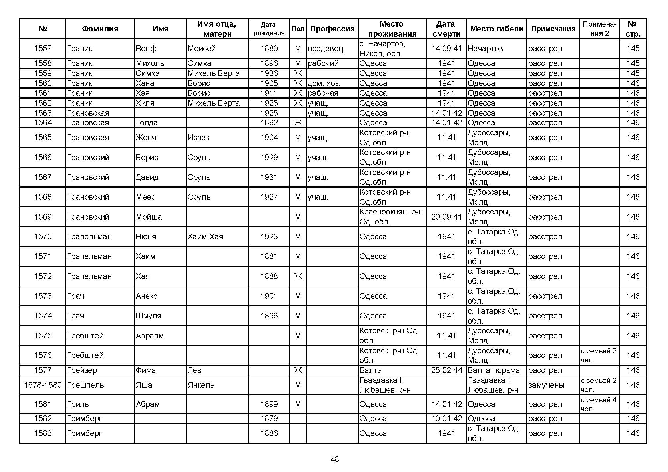
Официальные названия мест и районов отражают административное устройство и государственные границы разных стран до 1.01.1938.