+/-2
+/-5
Место жительства
названия мест можно указывать и в их оригинальной форме
Фамилия:
Поиск по фамилии. Для женщины - также по фамилии после замужества.
Синонимы YV
Буквальный поиск
Фонетический поиск
Имя:
Поиск по каждому имени, включая уменьшительное имя или прозвище.
Расширьте поиск, включив в него имена, которые возможно связаны
Девичья фамилия:
Поиск по девичьей фамилии женщины до замужества.
Год рождения:
Между 1825-1945гг: точно или в диапазоне 2-5 ле
Точный
Год смерти:
Во время Шоа: 1933-1945гг; точно или в диапазоне 2-5 лет
Место рождения:
Город/село или область/район, или страна
До войны:
Место жительства перед войной: город/село или область/район, или страна
Во время войны/Шоа:
Любое место нахождения во время войны: город/село или гетто/лагерь, или область/район, или страна
Место смерти:
Любое место нахождения во время войны: город/село или гетто/лагерь, или область/район, или страна
Имя отца:
Поиск по имени, включая уменьшительное или прозвище
Имя матери:
Поиск по любому имени, включая уменьшительное или прозвище
Девичья фамилия матери:
Поиск по девичьей фамилии
Имя супруга/супруги:
Поиск по любому имени, включая уменьшительное или прозвище
Девичья фамилия супруги:
Поиск по фамилии женщины до замужества
Имя:
Поиск по фамилии подателя Листа свидетельских показаний. Этот поиск включает в себя также результаты по девичьей фамилии
Фамилия:
Поиск подателя Листа свидетельских показаний. Поиск по любому имени, включая уменьшительное или прозвище
Глобальный поиск:
advancedSearch.help.globalSearch
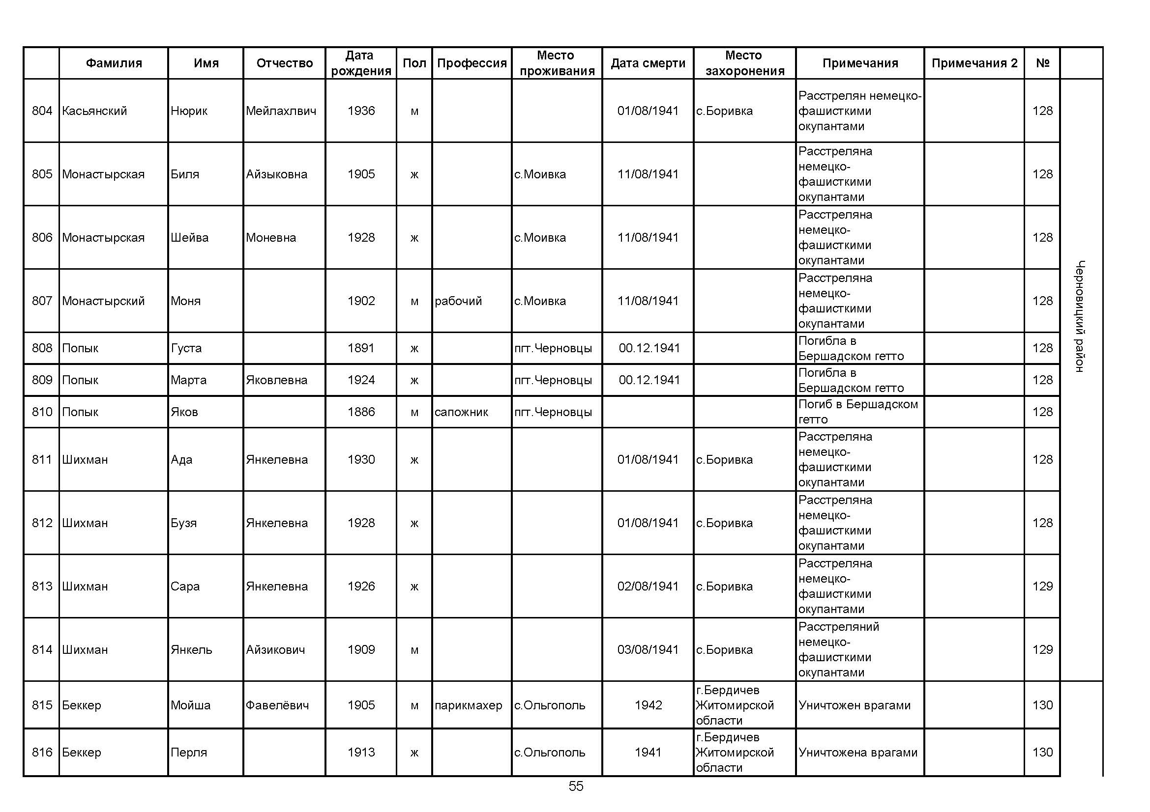
Во время Шоа евреев уничтожали разными способами: газовые камеры, расстрелы, их заживо хоронили или сжигали, непосильным принудительным трудом, голодом, эпидемиями, отсутствием минимальных гигиенических условий и медицинского обслуживания, и т.д. Некоторые евреи добровольно расстались со своей жизнью, чтобы избежать ареста и дальнейших преследований или чтобы покончить с безысходностью и бесконечными страданиями.
Несколько мест для групповых фотографий