Yad Vashem logo

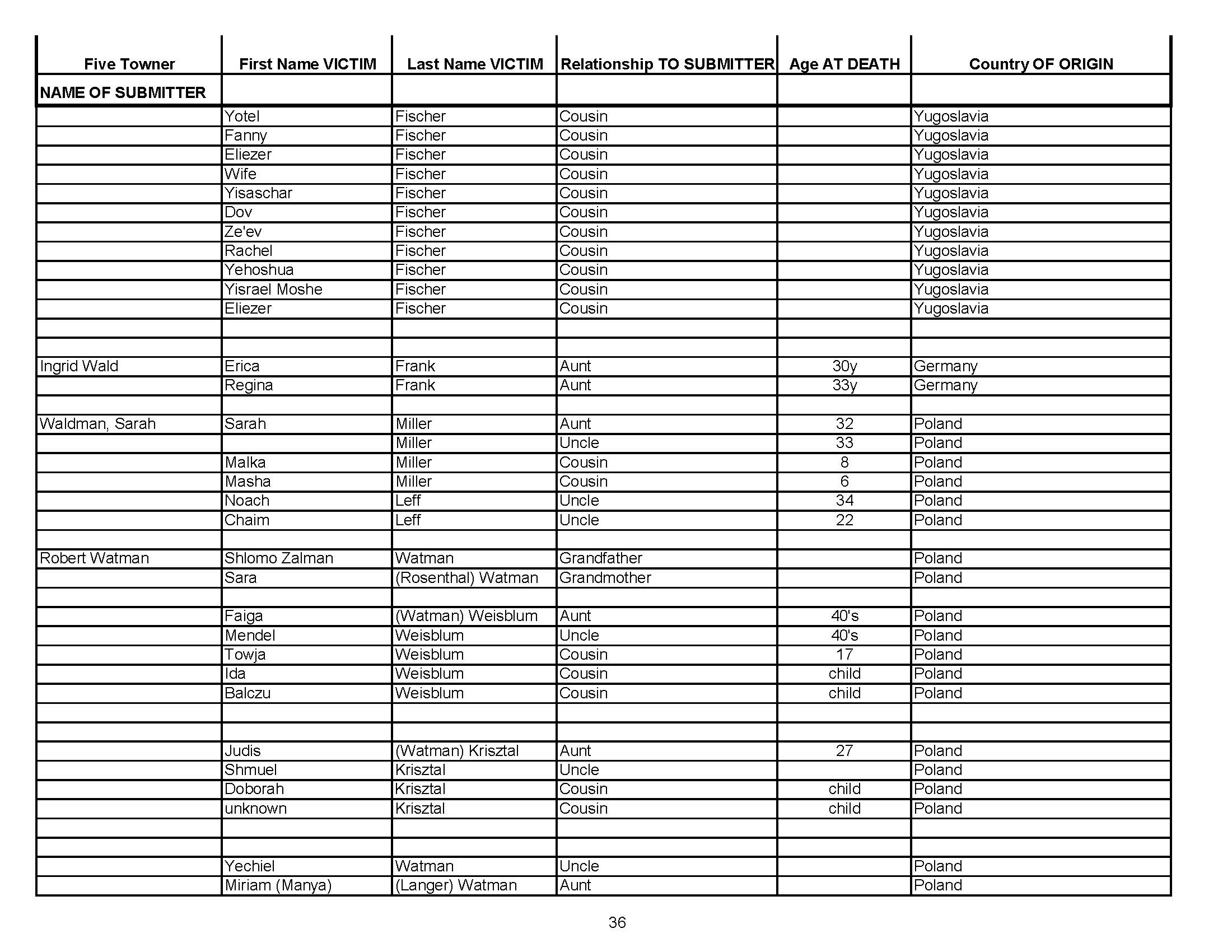
Ноах Лефф

globalSearch.tabs.PrintCandleLabel
Уничтожен/a
Ноах Лефф. Место жительства до войны: Польша.
Ноах уничтожен в период Шоа.


details.basedOn.ClusterBasedOn
names.headerTitles.lastName names.headerTitles.firstName names.headerTitles.birthYear names.headerTitles.placeOfResidence names.headerTitles.source
Лефф Ноах Польша Список преследуемых / пострадавших лиц
names.clusters.recordDetails     names.clusters.edit
details.fullDetails.YSLN
Лефф
details.fullDetails.YSFN
Ноах
details.fullDetails.GENDER
Мужской
details.fullDetails.AGE
34
details.fullDetails.YSPLP
<>,<>,<>,Польша
details.fullDetails.LIF_676
уничтожен/a
details.fullDetails.YSSBN
Сара Вальдман
details.fullDetails.YSFR
Племянница
details.fullDetails.ID
8835074
details.*
Poland
51.919;19.145
banner.names.spincler