названия мест можно указывать и в их оригинальной форме
Фамилия:
Поиск по фамилии. Для женщины - также по фамилии после замужества.
Синонимы YV
Буквальный поиск
Фонетический поиск
Имя:
Поиск по каждому имени, включая уменьшительное имя или прозвище.
Расширьте поиск, включив в него имена, которые возможно связаны
Девичья фамилия:
Поиск по девичьей фамилии женщины до замужества.
Год рождения:
Между 1825-1945гг: точно или в диапазоне 2-5 ле
Точный
+/-2
+/-5
Год смерти:
Во время Шоа: 1933-1945гг; точно или в диапазоне 2-5 лет
Место рождения:
Город/село или область/район, или страна
До войны:
Место жительства перед войной: город/село или область/район, или страна
Во время войны/Шоа:
Любое место нахождения во время войны: город/село или гетто/лагерь, или область/район, или страна
Место смерти:
Любое место нахождения во время войны: город/село или гетто/лагерь, или область/район, или страна
Имя отца:
Поиск по имени, включая уменьшительное или прозвище
Имя матери:
Поиск по любому имени, включая уменьшительное или прозвище
Девичья фамилия матери:
Поиск по девичьей фамилии
Имя супруга/супруги:
Поиск по любому имени, включая уменьшительное или прозвище
Девичья фамилия супруги:
Поиск по фамилии женщины до замужества
Имя:
Поиск по фамилии подателя Листа свидетельских показаний. Этот поиск включает в себя также результаты по девичьей фамилии
Фамилия:
Поиск подателя Листа свидетельских показаний. Поиск по любому имени, включая уменьшительное или прозвище
Глобальный поиск:
advancedSearch.help.globalSearch
Место рождения
Место жительства
Во время войны/Шоа
Место смерти
Несколько мест для групповых фотографий
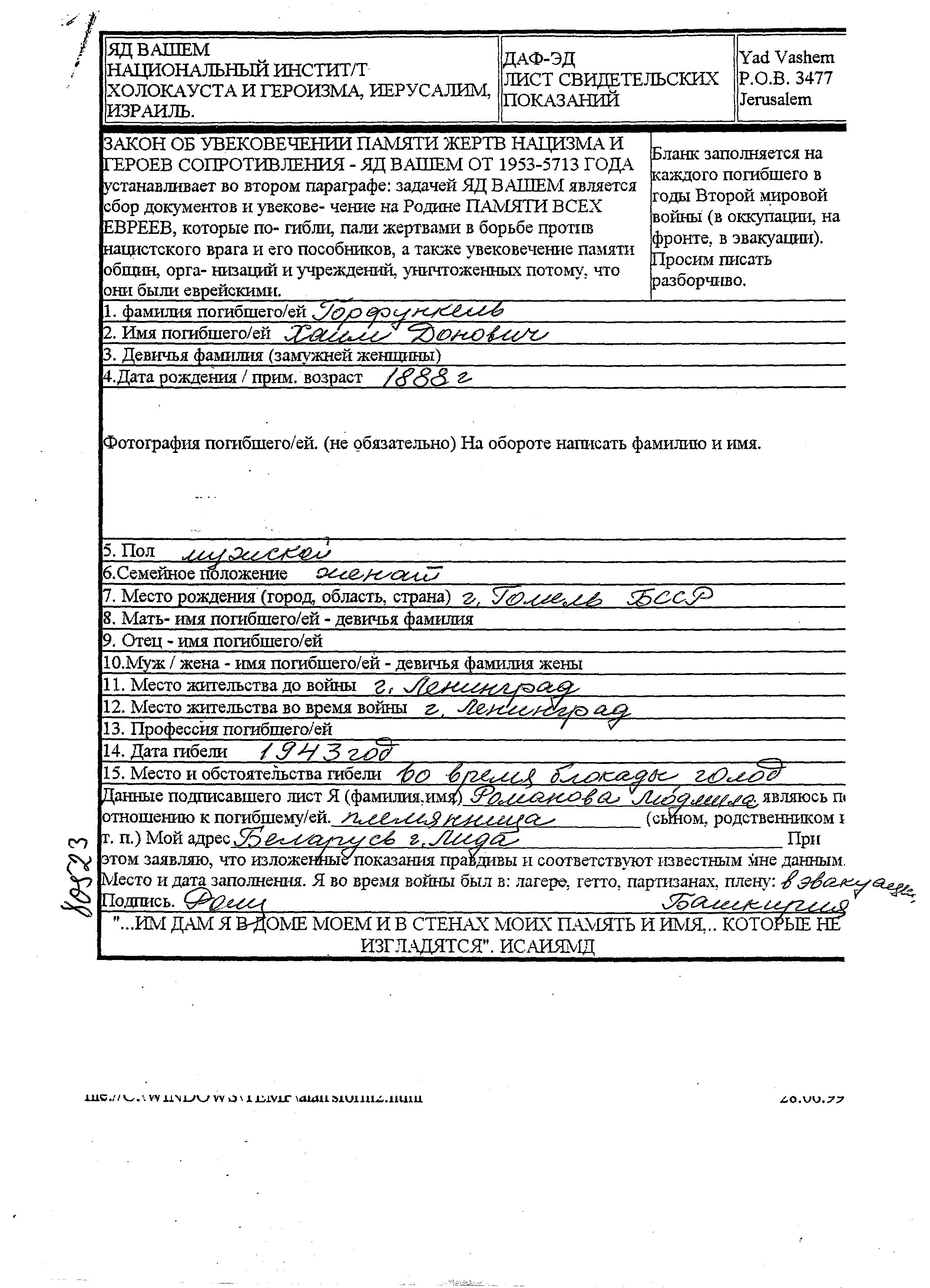
Многие тысячи евреев были убиты во время нацистских бомбардировок населенных пунктов за линией фронта или умерли из-за невыносимых условий жизни, в период блокады или бегства. В процентном отношении число жертв среди евреев было выше, чем среди других групп населения, так как евреи, в отличие от всех остальных, бежали от прямых антисемитских преследований со стороны нацистов.