Yad Vashem logo

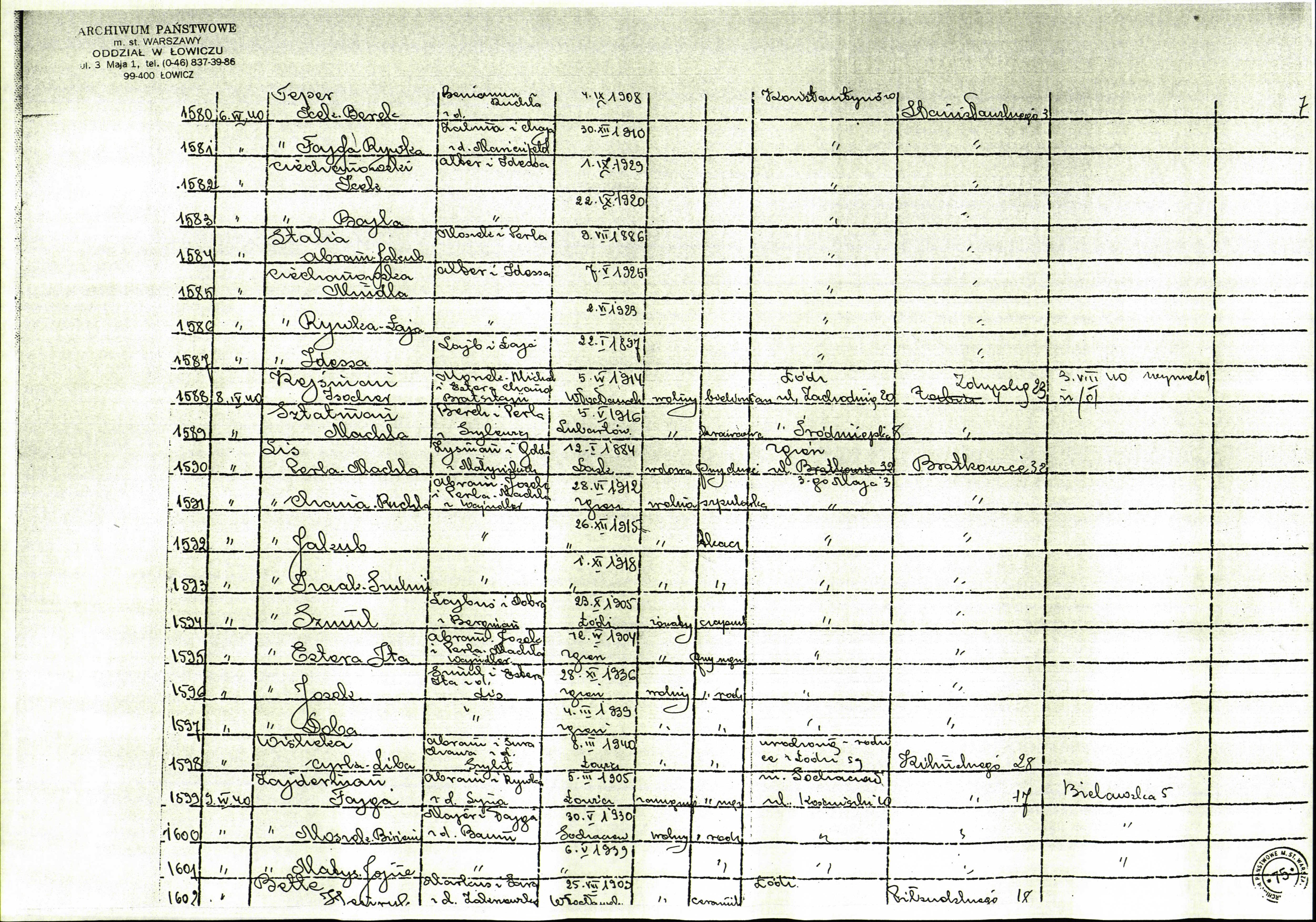
Moszek בינם Zajderman

globalSearch.tabs.PrintCandleLabel
נרצח/ה
Moszek בינם Zajderman נולד בSochaczew שבפולין בשנת 1930. לפני מלחמת העולם השניה התגורר בSochaczew שבפולין.
הוא נרצח בשואה. מקום המוות: מקום לא רשום.


details.basedOn.ClusterBasedOn
names.headerTitles.lastName names.headerTitles.firstName names.headerTitles.birthYear names.headerTitles.placeOfResidence names.headerTitles.source
Zajderman Moszek Biniem 1930 Sochaczew, פולין רשימת מגורשים
Zajderman Mosze Binim Sochaczew, פולין דף-עד
זיידרמן משה בינם Sochaczew, פולין דף-עד
names.clusters.recordDetails     names.clusters.edit
details.fullDetails.YSLN
Zajderman
details.fullDetails.YSFN
Moszek
details.fullDetails.YSFN
Biniem
details.fullDetails.GENDER
זכר
details.fullDetails.YSODB
30/05/1930
details.fullDetails.YSFTHN
Majer
details.fullDetails.YSMTHN
Fajga
details.fullDetails.YSMMN
באום
details.fullDetails.YSFST
ילד/ה
details.fullDetails.PLADR
ul. Kosciuszki 10
details.fullDetails.LIF_415
ul. Bielawska 5
details.fullDetails.YSPLW
Lowicz,Lowicz,Warszawa,פולין
details.fullDetails.LIF_676
גורש
details.fullDetails.CLNA
רשימת מגורשים
details.fullDetails.ID
14675113
details.*
Sochaczew
Sochaczew
Warszawa
Poland
52.231;20.231
Sochaczew
Sochaczew
Warszawa
Poland
52.231;20.231
unstated place
banner.names.spincler