Online Store Contact us About us

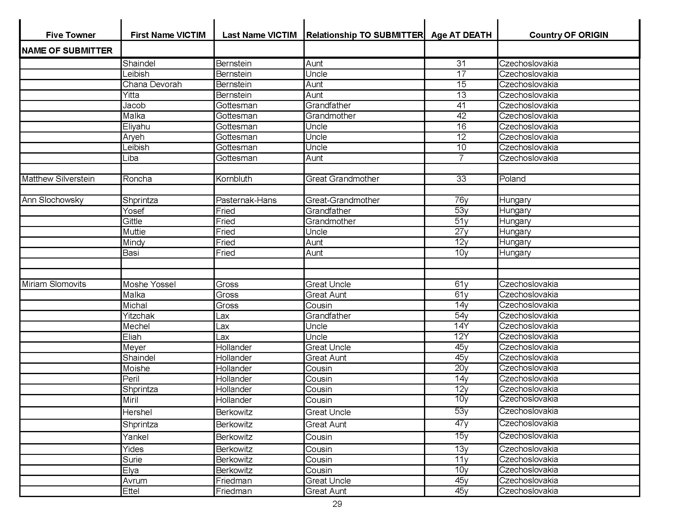
Leibish Gottesman

globalSearch.tabs.PrintCandleLabel
Assassiné/e
Leibish Gottesman est né fils de Jacob et de Malka. Il était Enfant. Avant la seconde guerre mondiale il vivait à Tchécoslovaquie.
Leibish a été assassiné pendant la Shoah.


Ces informations sont basées sur les entrées/documents affichés ci-dessous:
Nom Prénom Date de naissance Lieu de résidence Source
Gottesman Leibish Tchécoslovaquie Liste de personnes persécutées
Record Details     ajouts/corrections
Nom
Gottesman
Prénom
Leibish
Genre
masculin
Age
10
Prénom du père
Jacob
Prénom de la mère
Malka
Statut marital
Enfant
Lieu de résidence permanente
<>,<>,<>,Tchécoslovaquie
Statut basé sur la source
assassiné/e
Lien avec la victime
Neveu
Numéro identifiant
8831745
* Traduction automatique de l'hébreu
Czechoslovakia
48.908;17.819
Les noms officiels des localités et des districts reflètent l'organisation administrative et les frontières nationales des différents pays avant le 1.01.1938.