Chana Rivka Berkowitz

globalSearch.tabs.PrintCandleLabel
Assassiné/e
Chana Rivka Berkowitz est née fille de Avraham Eliya et de Regina. Elle était Enfant. Avant la seconde guerre mondiale elle vivait à Hongrie.
Chana Rivka a été assassinée pendant la Shoah.


details.basedOn.ClusterBasedOn
names.headerTitles.lastName names.headerTitles.firstName names.headerTitles.birthYear names.headerTitles.placeOfResidence names.headerTitles.source
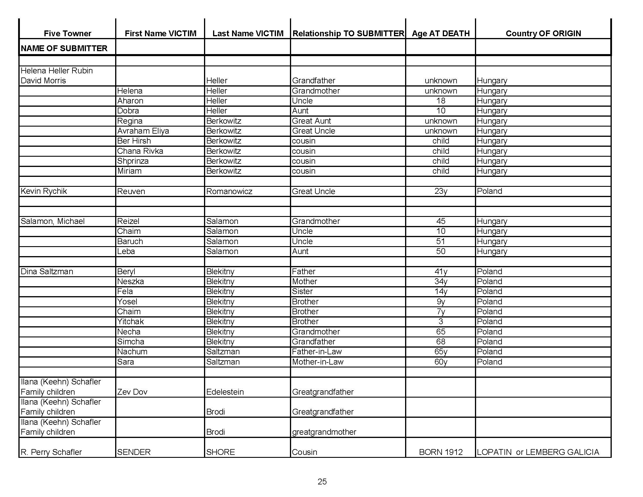
Berkowitz Chana Rivka Hongrie Liste de personnes persécutées
names.clusters.recordDetails     names.clusters.edit
details.fullDetails.YSLN
Berkowitz
details.fullDetails.YSFN
Chana
details.fullDetails.YSFN
Rivka
details.fullDetails.GENDER
féminin
details.fullDetails.YSFTHN
Avraham
details.fullDetails.YSFTHN
Eliya
details.fullDetails.YSMTHN
Regina
details.fullDetails.YSFST
Enfant
details.fullDetails.YSPLP
<>,<>,<>,Hongrie
details.fullDetails.LIF_676
assassiné/e
details.fullDetails.YSSBN
David Helena Morris Heller Rubin
details.fullDetails.YSFR
Cousin/e
details.fullDetails.CLNA
Liste de personnes persécutées
details.fullDetails.ID
8830004
details.*
Hungary
47.162;19.503
banner.names.spincler