Online Store Contact us About us

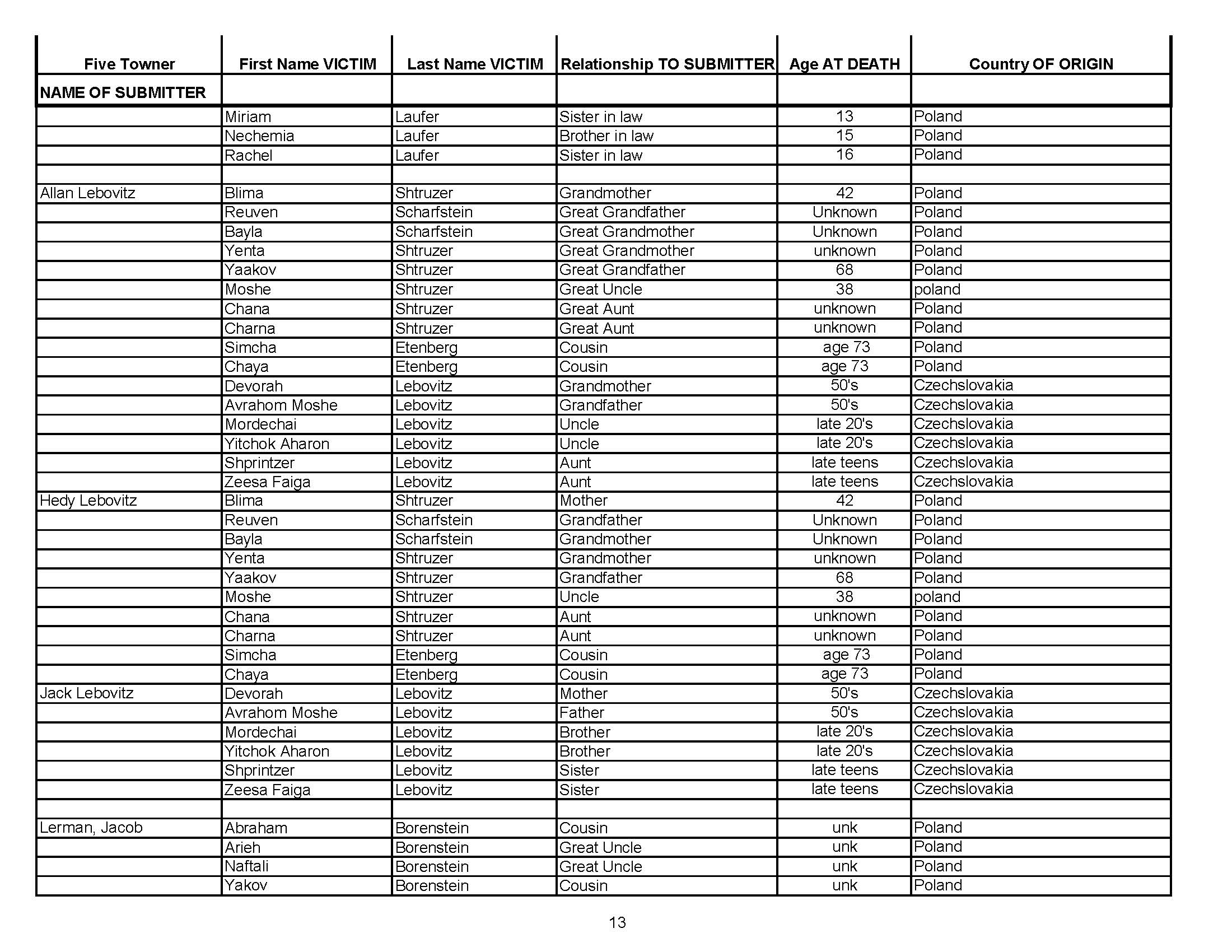
Moshe Shtruzer

Print Candle Label
Assassiné/e
Moshe Shtruzer est né fils de Yaakov et de Yenta. Avant la seconde guerre mondiale il vivait à Pologne.
Moshe a été assassiné pendant la Shoah.


Ces informations sont basées sur les entrées/documents affichés ci-dessous:
Nom Prénom Date de naissance Lieu de résidence Source
Shtruzer Moshe Pologne Liste de personnes persécutées
Record Details     ajouts/corrections
Nom
Shtruzer
Prénom
Moshe
Genre
masculin
Age
38
Prénom du père
Yaakov
Prénom de la mère
Yenta
Lieu de résidence permanente
<>,<>,<>,Pologne
Statut basé sur la source
assassiné/e
Lien avec la victime
Petit-neveu
Lien avec la victime
Nièce
Numéro identifiant
8818493
* Traduction automatique de l'hébreu
Poland
51.919;19.145
Les noms officiels des localités et des districts reflètent l'organisation administrative et les frontières nationales des différents pays avant le 1.01.1938.