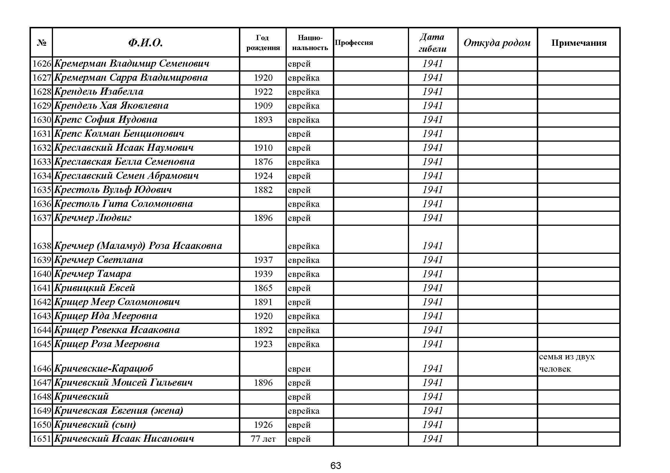
Lyudvig Krechmer

globalSearch.tabs.PrintCandleLabel
Assassiné/e
Lyudvig Krechmer est né en 1896. Avant la seconde guerre mondiale il vivait à Kharkov, Ukraine (URSS).
Lyudvig a été assassiné pendant la Shoah. Lieu de la mort: endroit inconnu en 1941.


details.basedOn.ClusterBasedOn
names.headerTitles.lastName names.headerTitles.firstName names.headerTitles.birthYear names.headerTitles.placeOfResidence names.headerTitles.source
Krechmer Lyudvig 1896 Ukraine (URSS) Liste de personnes persécutées
names.clusters.recordDetails     names.clusters.edit
details.fullDetails.YSLN
Krechmer
details.fullDetails.YSFN
Lyudvig
details.fullDetails.GENDER
masculin
details.fullDetails.YSODB
1896
details.fullDetails.YSPLP
<>,<>,Kharkov,Ukraine (URSS)
details.fullDetails.YSDD
1941
details.fullDetails.LIF_391
Abattu à coup de feu
details.fullDetails.LIF_676
assassiné/e
details.fullDetails.CLNA
Liste de personnes persécutées
details.fullDetails.ID
8415637
details.*
Kharkov
Ukraine (USSR)
49.735;36.686
banner.names.spincler