PLAN A VISIT
ABOUT THE HOLOCAUST
COMMEMORATION
RESEARCH
COLLECTIONS
EDUCATION & E-LEARNING
RIGHTEOUS
ABOUT US
JOIN US
PRESS ROOM
Online Store
Contact us
About us
ABOUT THE HOLOCAUST
Inroduction
What was the Holocaust?
The Holocaust Resource Center
This Month in Holocaust History
Video Lectures
Video Testimony Resource Center
RESEARCH & COLLECTIONS
Digital Collections
Shoah Names Database
The Photo Archive
The Righteous Database
The Documents Archive
Survivor Testimonies Collection
The Untold Stories Research Project
Deportations Database Research Project
Library Catalog
Film Catalog
The Artifacts Collection
About the Archives
Reference and Information Services
Hall of Names
Gathering the Fragments
About the Research Institute
Publications
Yad Vashem Studies
International Conferences
International Workshops
Research Projects
Postdoc Fellowships
COMMEMORATION
Introduction
Holocaust Remembrance Day 2023
Holocaust Remembrance Day Through the Years
Online Torchlighter Film Archive
International Holocaust Remembrance Day
Names
Download Pages of Testimony
Survivor Forms
Bar/Bat Mitzvah Twinning Program
The Shoah Victims' Names Recovery Project
EDUCATION & E-LEARNING
Introduction
About Us
Educational Materials
Educational Videos
For Educators in Jewish Frameworks
Online Courses
Seminars
e-Newsletter
International Projects
International Conferences
Languages
Echoes & Reflections
MUSEUMS & EXHIBITIONS
The Holocaust History Museum
The Art Museum
Online Exhibitions
Shoah- Auschwitz-Birkenau
Exhibitions Pavilion
ready2print Exhibitions
The Artifacts Collection
RIGHTEOUS
Introduction
About the Righteous
About the Program
Righteous Database
I Am My Brother's Keeper A Tribute to the Righteous
Featured Stories
Names of Righteous by Country
FAQs
Resources
We Seek Your Help
How to Apply
Contact Us
PLAN A VISIT
Reserve Your Visit Online
Plan Your Visit
Opening Hours
Transportation and Parking
menu
menu
>
>
breadcrumbs.names
>
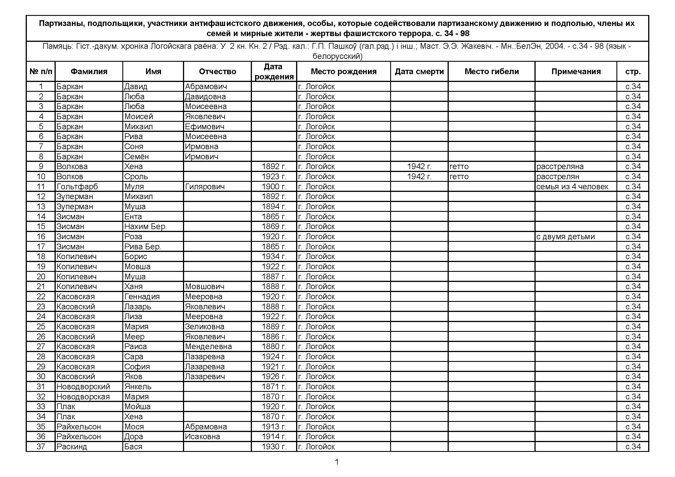
Mikhail Barkan
keyboard_arrow_down
Mikhail Barkan
globalSearch.tabs.PrintCandleLabel
Murdered
Mikhail Barkan was born in Logoysk, Belorussia (USSR) to Yefim. Prior to WWII he lived in Logoysk, Belorussia (USSR).
Mikhail was murdered in the Shoah.
details.basedOn.ClusterBasedOn
names.headerTitles.lastName
names.headerTitles.firstName
names.headerTitles.birthYear
names.headerTitles.placeOfResidence
names.headerTitles.source
Barkan
Mikhail
Logoysk, Belorussia (USSR)
List of persecuted persons
cards.record 1
names.clusters.recordDetails
names.clusters.edit
details.fullDetails.YSLN
Barkan
details.fullDetails.YSFN
Mikhail
details.fullDetails.GENDER
Male
details.fullDetails.YSPB
Logoysk, Logoysk, Minsk, Belorussia (USSR)
details.fullDetails.YSFTHN
Yefim
details.fullDetails.YSPLP
Logoysk,Logoysk,Minsk,Belorussia (USSR)
details.fullDetails.LIF_676
murdered
details.fullDetails.belong
List of Jews from Logoysk and the Logoysk vicinity who perished during the Holocaust, and list of Jewish Red Army soldiers who died in battle in the Logoysk area
details.fullDetails.CLNA
List of persecuted persons
details.fullDetails.ID
9389266
1
details.*
banner.names.disclaimer.attribution
Logoysk
Logoysk
Minsk
Belorussia (USSR)
54.201;27.858
Logoysk
Logoysk
Minsk
Belorussia (USSR)
54.201;27.858
banner.names.spincler