Online Store Contact us About us
Yad Vashem logo

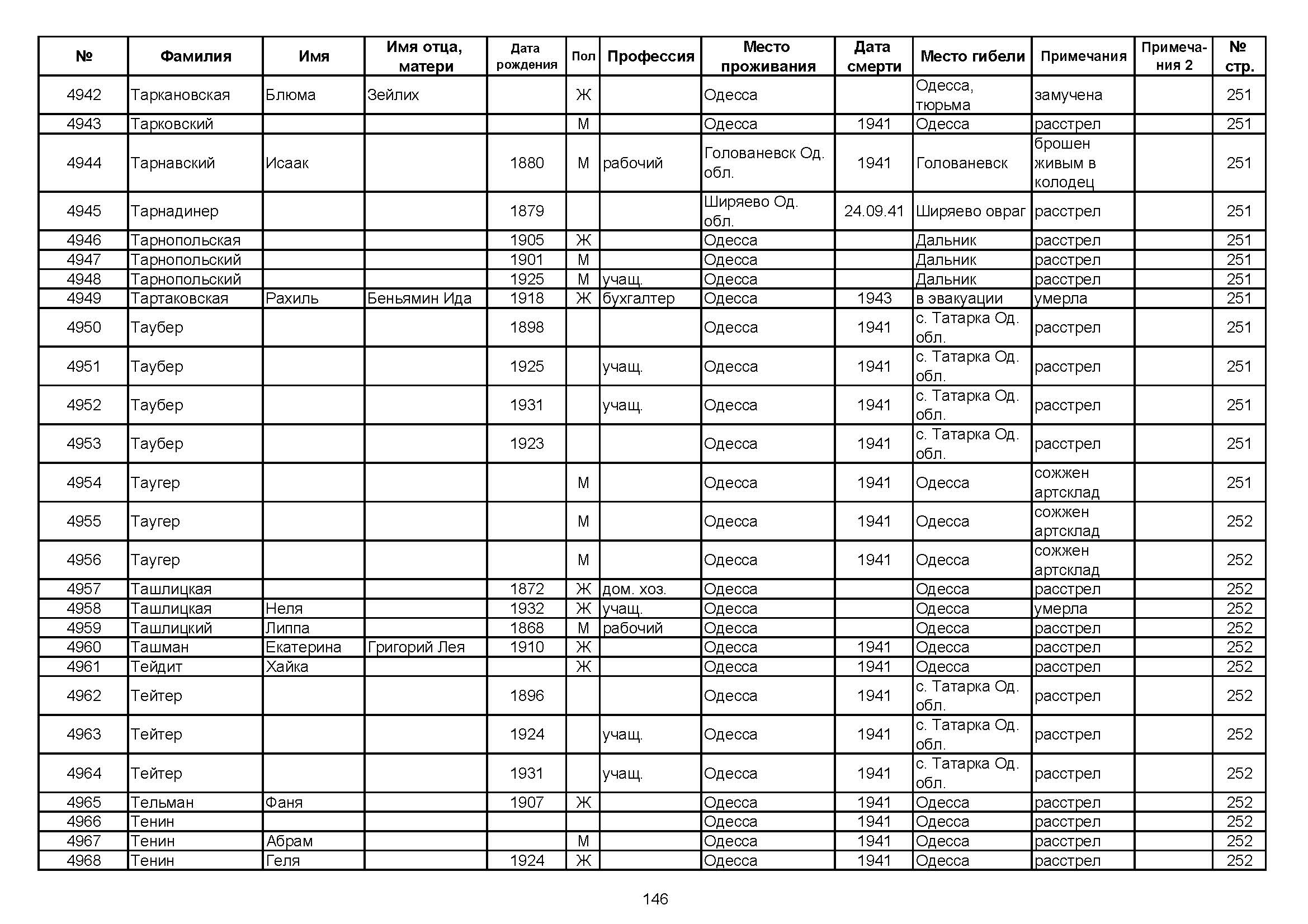
Isaak Tarnavski

Print Candle Label
Murdered
Isaak Tarnavski was born, 1880. He was a worker. Prior to WWII he lived in Golovanevsk, Ukraine (USSR). During the war he was in Golovanevsk, Ukraine (USSR).
Isaak was murdered in the Shoah. Place of death: Golovanevsk, Ukraine (USSR), 1941.


This information is based on the records/documents displayed below:
Last Name First Name Year of Birth Place of Residence Source
Tarnavski Isaak 1880 Golovanevsk, Ukraine (USSR) List of persecuted persons
Record Details     Submit corrections and additions
Last Name
Tarnavski
First Name
Isaak
Gender
Male
Date of Birth
1880
Profession
Worker
Date of Death
1941
Cause of Death
Throwing into well
Status According to Source
murdered
Item ID
9353213
* Automatic translation from Hebrew
Golovanevsk
Golovanevsk
Odessa
Ukraine (USSR)
48.384;30.461
Golovanevsk
Golovanevsk
Odessa
Ukraine (USSR)
48.384;30.461
Golovanevsk
Golovanevsk
Odessa
Ukraine (USSR)
48.384;30.461
Official names of places and districts reflect the administrative organization and state borders of the different countries before 1.01.1938.