Online Store Contact us About us
Yad Vashem logo

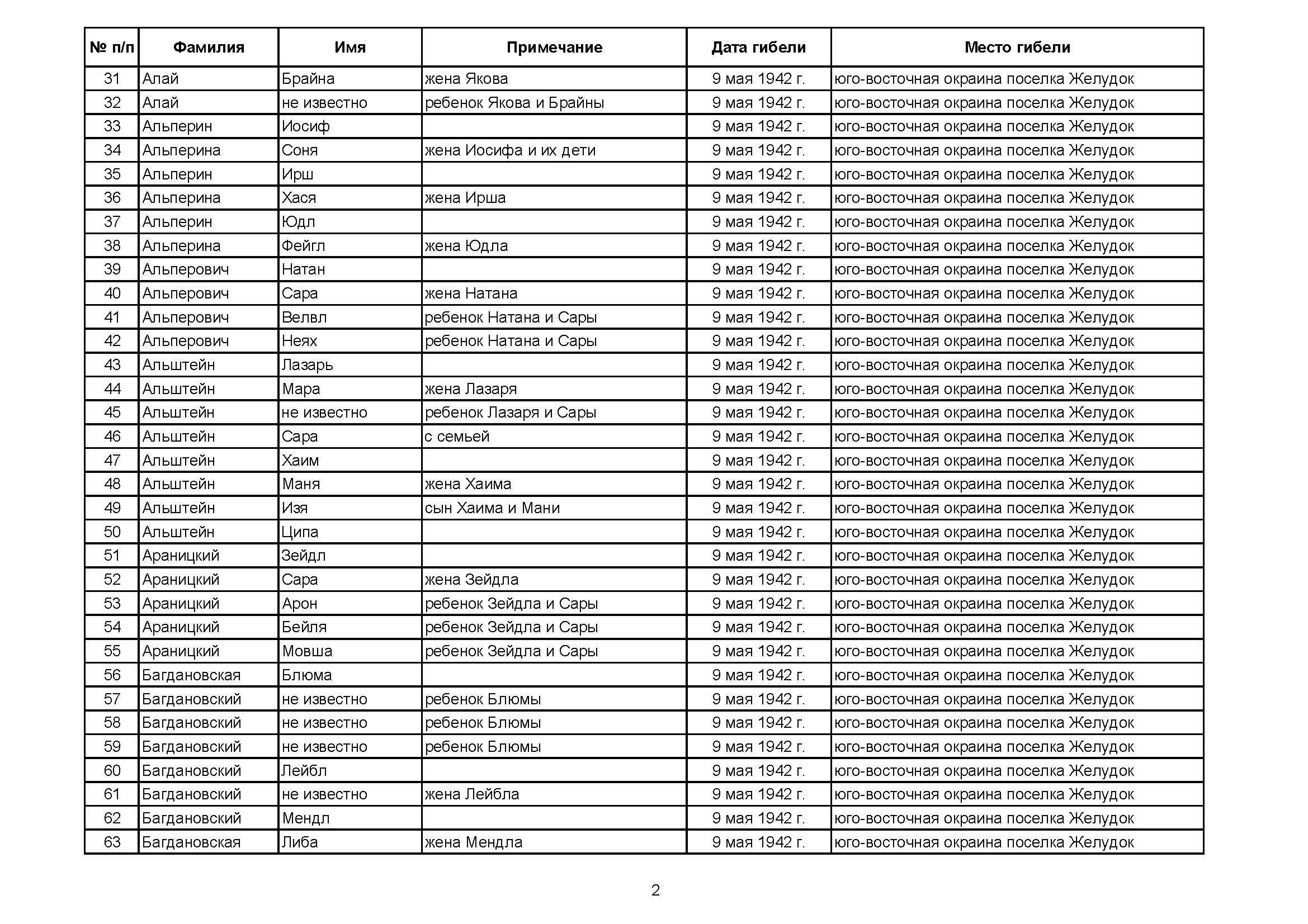
Velvl Alperovich

Print Candle Label
Murdered
Velvl Alperovich was born to Natan and Sara. He was child. Prior to WWII he lived in Zheludok, Poland. During the war he was in Zheludok, Poland.
Velvl was murdered in the Shoah. Place of death: Zheludok, Poland, 09/05/1942.


This information is based on the records/documents displayed below:
Last Name First Name Year of Birth Place of Residence Source
Alperovich Velvl Zheludok, Poland List of persecuted persons
Record Details     Submit corrections and additions
Last Name
Alperovich
First Name
Velvl
Gender
Male
Father's First Name
Natan
Mother's First Name
Sara
Marital Status
Child
Permanent Place of Residence
Zheludok,Szczuczyn,Nowogrodek,Poland
Place During the War/Shoah
Zheludok,Szczuczyn,Nowogrodek,Poland
Date of Death
09/05/1942
Status According to Source
murdered
Item ID
9019990
* Automatic translation from Hebrew
Synonyms and related names© Since 2004. YAD VASHEM. All Rights Reserved.
Zheludok
Szczuczyn
Nowogrodek
Poland
53.599;24.975
Zheludok
Szczuczyn
Nowogrodek
Poland
53.599;24.975
Zheludok
Szczuczyn
Nowogrodek
Poland
53.599;24.975
Official names of places and districts reflect the administrative organization and state borders of the different countries before 1.01.1938.