Online Store Contact us About us
Yad Vashem logo

Maria Kondratovich

Print Candle Label
Murdered
Maria Kondratovich was born to Karl. Prior to WWII she lived in Kharkov, Ukraine (USSR).
Maria was murdered in the Shoah. Place of death: unknown, 1942.


This information is based on the records/documents displayed below:
Last Name First Name Year of Birth Place of Residence Source
Kondratovich Maria Ukraine (USSR) List of persecuted persons
Record Details     Submit corrections and additions
Last Name
Kondratovich
First Name
Maria
Gender
Female
Father's First Name
Karl
Permanent Place of Residence
<>,<>,Kharkov,Ukraine (USSR)
Date of Death
1942
Cause of Death
Shot
Status According to Source
murdered
Item ID
8415046
* Automatic translation from Hebrew
Synonyms and related names© Since 2004. YAD VASHEM. All Rights Reserved.
Kharkov
Ukraine (USSR)
49.735;36.686
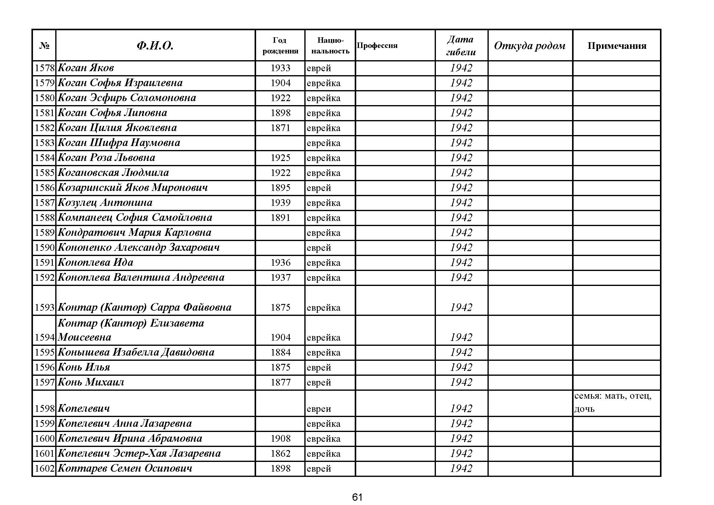
Official names of places and districts reflect the administrative organization and state borders of the different countries before 1.01.1938.