Online Store Contact us About us
Yad Vashem logo

First name unknown Kapitovski

Print Candle Label
Murdered
First name unknown Kapitovski was born to Dusya. He was baby. Prior to WWII he lived in Tsibulev, Ukraine (USSR). During the war he was in Tsibulev, Ukraine (USSR).
He was murdered in the Shoah. Place of death: Tsibulev, Ukraine (USSR), 04/1942.


This information is based on the records/documents displayed below:
Last Name First Name Year of Birth Place of Residence Source
Kapitovski First name unknown Tsibulev, Ukraine (USSR) List of persecuted persons
Record Details     Submit corrections and additions
Last Name
Kapitovski
First Name
First name unknown
Gender
Male
Mother's First Name
Dusya
Marital Status
Baby
Date of Death
04/1942
Cause of Death
Shot
Status According to Source
murdered
Item ID
8243915
* Automatic translation from Hebrew
Synonyms and related names© Since 2004. YAD VASHEM. All Rights Reserved.
Tsibulev
Monastyrishche
Vinnitsa
Ukraine (USSR)
49.075;29.849
Tsibulev
Monastyrishche
Vinnitsa
Ukraine (USSR)
49.075;29.849
Tsibulev
Monastyrishche
Vinnitsa
Ukraine (USSR)
49.075;29.849
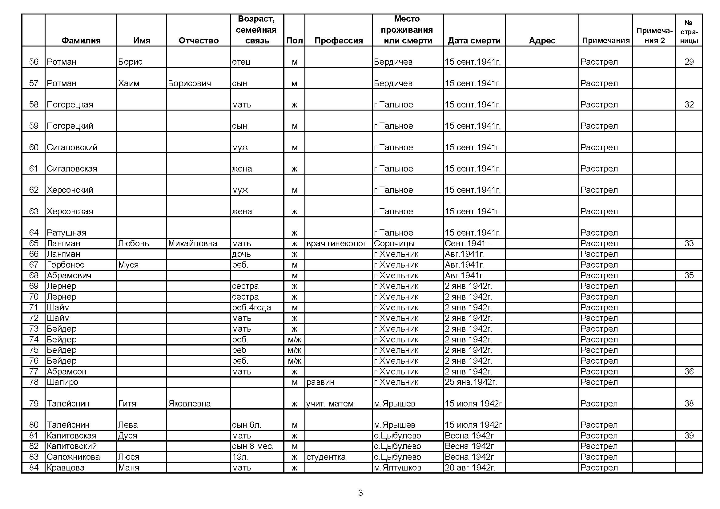
Official names of places and districts reflect the administrative organization and state borders of the different countries before 1.01.1938.