Online Store Contact us About us
Yad Vashem logo

Mikhail Barisovski

Print Candle Label
Murdered
Mikhail Barisovski was born in Zhornishche, Ukraine (USSR), 1916 to Yudko. He was a medical student. Prior to WWII he lived in Zhornishche, Ukraine (USSR).
Mikhail was murdered in the Shoah. Place of death: unknown, 08/1941.


This information is based on the records/documents displayed below:
Last Name First Name Year of Birth Place of Residence Source
Barisovski Mikhail 1916 Zhornishche, Ukraine (USSR) List of persecuted persons
Record Details     Submit corrections and additions
Last Name
Barisovski
First Name
Mikhail
Gender
Male
Date of Birth
1916
Father's First Name
Yudko
Profession
Medical student
Date of Death
08/1941
Status According to Source
murdered
Item ID
8092012
* Automatic translation from Hebrew
Synonyms and related names© Since 2004. YAD VASHEM. All Rights Reserved.
Zhornishche
Ilyintsy
Vinnitsa
Ukraine (USSR)
49.066;29.083
Zhornishche
Ilyintsy
Vinnitsa
Ukraine (USSR)
49.066;29.083
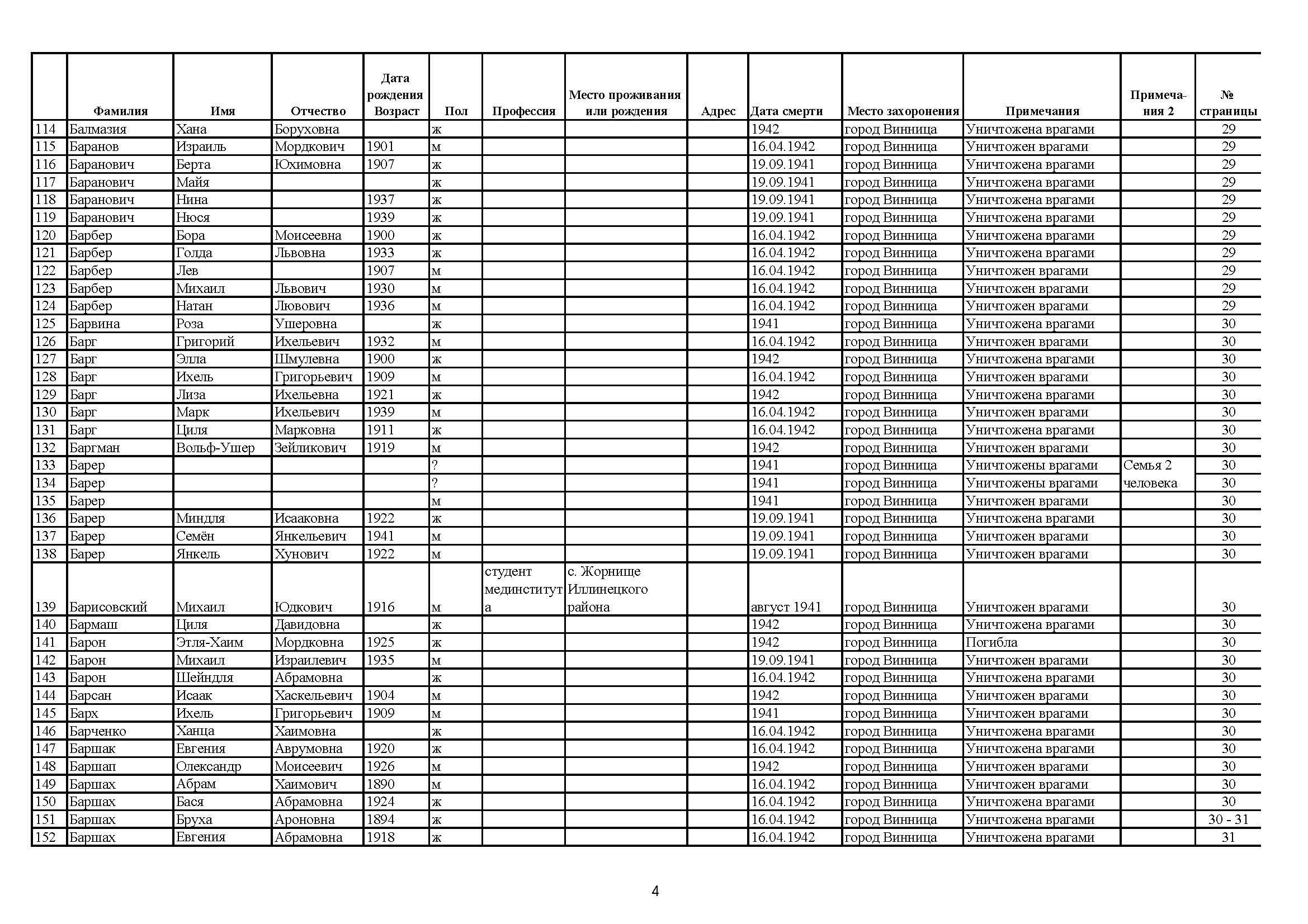
Official names of places and districts reflect the administrative organization and state borders of the different countries before 1.01.1938.