Online Store Contact us About us
Yad Vashem logo

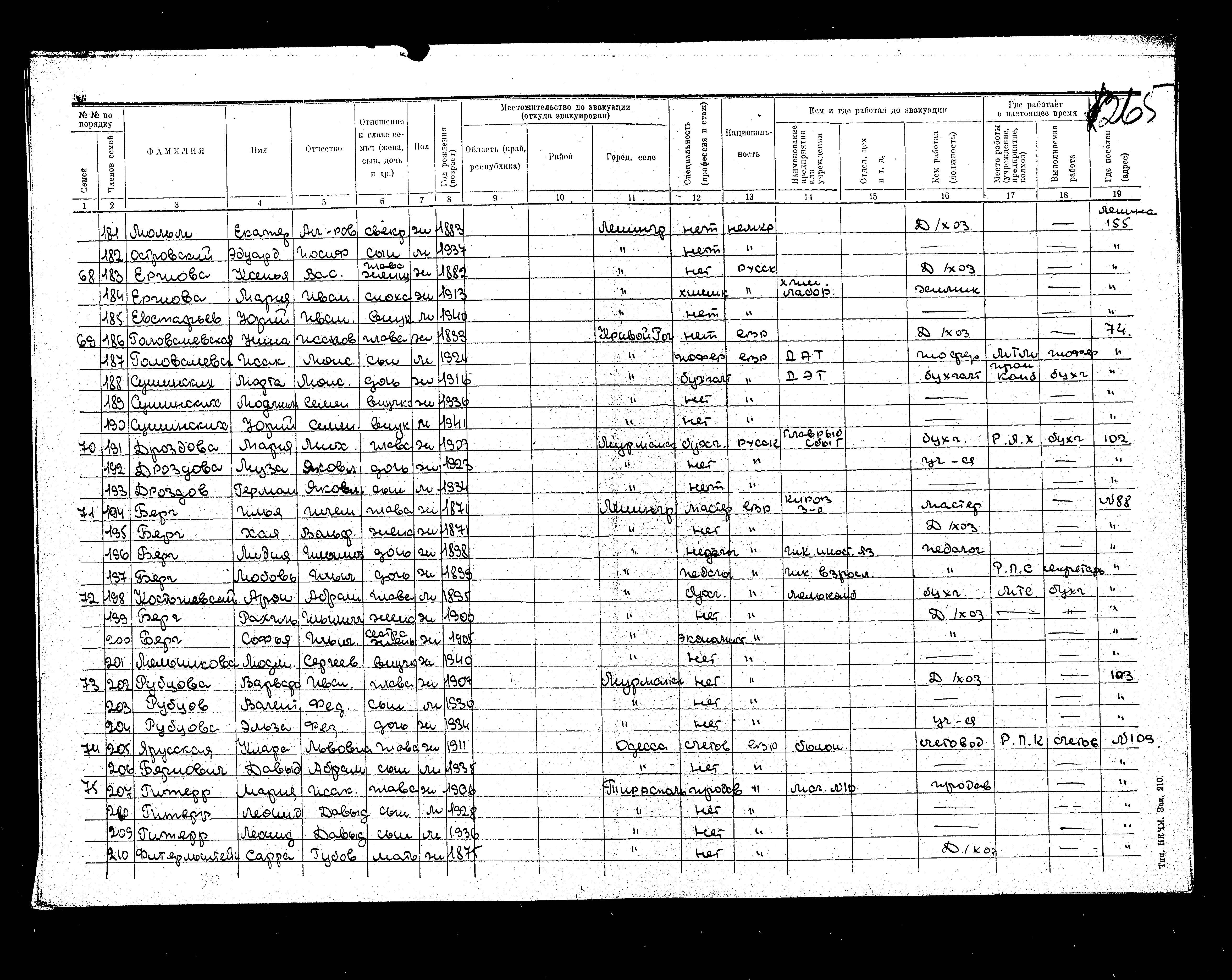
Khaya Berg

Print Candle Label
Was Registered Following the Evacuation/ in the Interior of the Soviet Union
Khaya Berg was born, 1871 to Vulf. She was married to Ilia. Prior to WWII she lived in Leningrad, Russia (USSR). During the war she was in Pyshma, Russia (USSR).
Khaya was registered following the evacuation/ in the interior of the Soviet Union.


This information is based on the records/documents displayed below:
Last Name First Name Year of Birth Place of Residence Source
Berg Khaya 1871 Leningrad, Russia (USSR) List of evacuated persons
Record Details     Submit corrections and additions
Last Name
Berg
First Name
Khaya
Gender
Female
Date of Birth
1871
Father's First Name
Vulf
Marital Status
Married
Spouse's First Name
Ilia
Place During the War/Shoah
<>,Pyshma,Sverdlovsk,Russia (USSR)
Status According to Source
evacuated
Item ID
7600060
* Automatic translation from Hebrew
Leningrad
Leningrad City
Leningrad
Russia (USSR)
59.939;30.315
Pyshma
Sverdlovsk
Russia (USSR)
63.15;56.50
Official names of places and districts reflect the administrative organization and state borders of the different countries before 1.01.1938.