Online Store Contact us About us
Yad Vashem logo

Ayzik Serebryanski

Print Candle Label
Murdered
Ayzik Serebryanski was born in unstated place. Prior to WWII he lived in Stary Zhivotov, Ukraine (USSR).
Ayzik was murdered in the Shoah. Place of death: Novozhivotov, Ukraine (USSR), 05/1942.


This information is based on the records/documents displayed below:
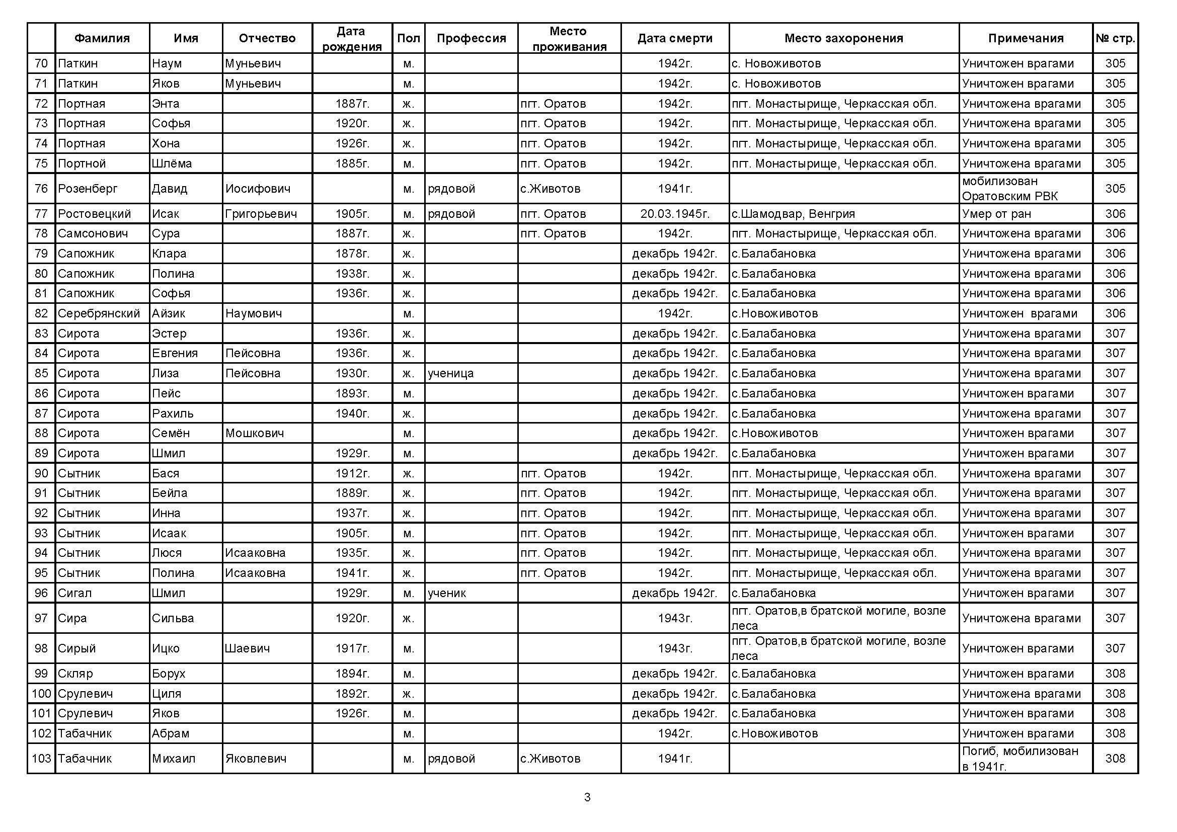
Last Name First Name Year of Birth Place of Residence Source
Serebryanski Ayzik Ukraine (USSR) List of persecuted persons
Serebryanski Yayzik Stary Zhivotov, Ukraine (USSR) List of persecuted persons
Record Details     Submit corrections and additions
Last Name
Serebryanski
First Name
Ayzik
Gender
Male
Father's First Name
Naum
Permanent Place of Residence
<>,Oratov,Vinnitsa,Ukraine (USSR)
Date of Death
1942
Status According to Source
murdered
Item ID
10645549
* Automatic translation from Hebrew
Synonyms and related names© Since 2004. YAD VASHEM. All Rights Reserved.
unstated place
Stary Zhivotov
Oratov
Vinnitsa
Ukraine (USSR)
49.271;29.539
Novozhivotov
Oratov
Vinnitsa
Ukraine (USSR)
49.265;29.536
Official names of places and districts reflect the administrative organization and state borders of the different countries before 1.01.1938.